ZONING


PAGE 3


SECTION 1 - TITLE


SECTION 2 - PURPOSE


SECTION 3 - DEFINITIONS


SECTION 4 - ZONING DISTRICTS AND BOUNDRIES


SECTION 5 - ZONING DISTRICT STANDARDS AND PERMITTED USES


SECTION 6 - GENERAL PROVISIONS


SECTION 7 - SUPPLEMENTAL REGULATIONS


SECTION 8 - HISTORIC NEIGHBORHOOD OVERLAY DISTRICT


SECTION 9 OFF - STREET PARKING AND LOADING


SECTION 10 - TELECOMMUNICATION ANTENNA AND TOWERS


SECTION 11 - EVENT CENTERS


SECTION 12 - SIGNS


SECTION 13 NON - CONFORMING USES


SECTION 14 - MANUFACTURED HOMES


SECTION 15 - RECREATION VEHICLE PARKS OR CAMPGROUNDS


SECTION 16 - RECREATIONAL VEHICLES


SECTION 17 - ADMINISTRATION


SECTION 18 - LEGAL STATUS


SECTION 19 F-1 DISTRICT : FLOOD DAMAGE PREVENTION ORDINANCE


SECTION 20 - SUBDIVISION REGULATIONS


SECTION 21 - HIGHER DENSITY DETACHED RESIDENTIAL (HDDR)


ORDINANCE / RESOLUTIONS

AS OF MAY 2025


2025 PUBLIC COMMENT ORDINANCE


2024 RESOLUTION ALCOHOL ORDINANCE


2021 TEMPORARY MOBILE DWELLING LIVING QUARTERS AGREEMENT


2020 ANIMAL CONTROL


2020 COMPENSATION ORDINANCE


2018 ZONING ORDINANCE


2017 ORDINANCE PURSUANT ARTICLE IX, SECTION II


2015 PAWNBROKERS


2011 COMPENSATION OF ELECTED OFFICIALS


2010 FLOOD DAMAGE PREVENTION


2009 LOITERING (REVISIONS)


2008 CABLE & VIDEO FRANCHISE FEE


2008 SPEED LIMIT (PEARCE STREET, LOFTIN LANE, & PASCHAL LANE)


2003 MUNICIPAL COURT OF CENTRALHATCHEE


2003 CHARTER AMENDMENT FOR MUNICIPAL COURT FINES FOR ORDINANCE VIOLATIONS


2003 CODES ENFORCEMENT OFFICE (PART TIME) CONTRACT


2002 PROHIBITING USE OF ALCOHOL BEVERAGES, CONTROLLED SUBSTANCES / TOBACCO CITY PROPERTY


2001 RECREATIONAL VEHICLE / RECREATIONAL VEHICLE PARK OR CAMPGROUND


1998 ORDINANCE / RESOLUTION AUTHORIZING RECORDS MANAGEMENT


1998 RESOLUTION OF SOLID WASTE MANAGEMENT


1998 SUBDIVISIONS AND HDDR REGULATIONS


1997 PRESCRIBED FEES FOR THE ISSUANCE OF PERMITS


1997 STATE MINIMUM STANDARD CODE


IMPOSE REASONABLE SPEED LIMITS WITHIN THE CITY


1995 LICENSE FEE ON INSURERS


1994 RESOLUTION TO CHANGE FISCAL YEAR


1993 HEARD COUNTY BOARD OF HEALTH


1988 ESTABLISH PLANNING COMMISSION


1985 IMPOSE GROSS PREMIUM TAX ON INSURERS


1983 TELEPHONE COMPANIES OCCUPATIONAL TAX DUE DATE


1982 UNLAWFUL TRAPS


1978 UNIFORM RULES OF THE ROAD


1937 SOUTHERN BELL TELEPHONE AND USE OF PUBLIC STREETS


BUILDING CODES


GEORGIA STATE MINIMUM STANDARD CODED FOR CONSTRUCTION PAGE 2


ADOPTING ADMINISTTRATIVE PROCEDURES FOR THE ENFORCEMENT OF STATE MINIMUM STANDARD CODES FOR CONSTRUCTION - PAGE 4


ATTACHED “A” ADMINISTRATION & ENFORCEMENT OF GEORGIA STATE MINIMUM STANDARD CODES FOR CONSTRUCTION - PAGE 5


RESOLUTION TO ADOPT CERTAIN S.B.C.C.I. ASSICIATED CODES AND STANDARDS - PAGE 21


TO SET PRESCRIBED FEES FOR ISSUANCE OF PERMITS - PAGE 22


INSPECTORS O.C.G.A. SECTION 8-2-26.1 (JULY 1, 2015) - PAGE 23


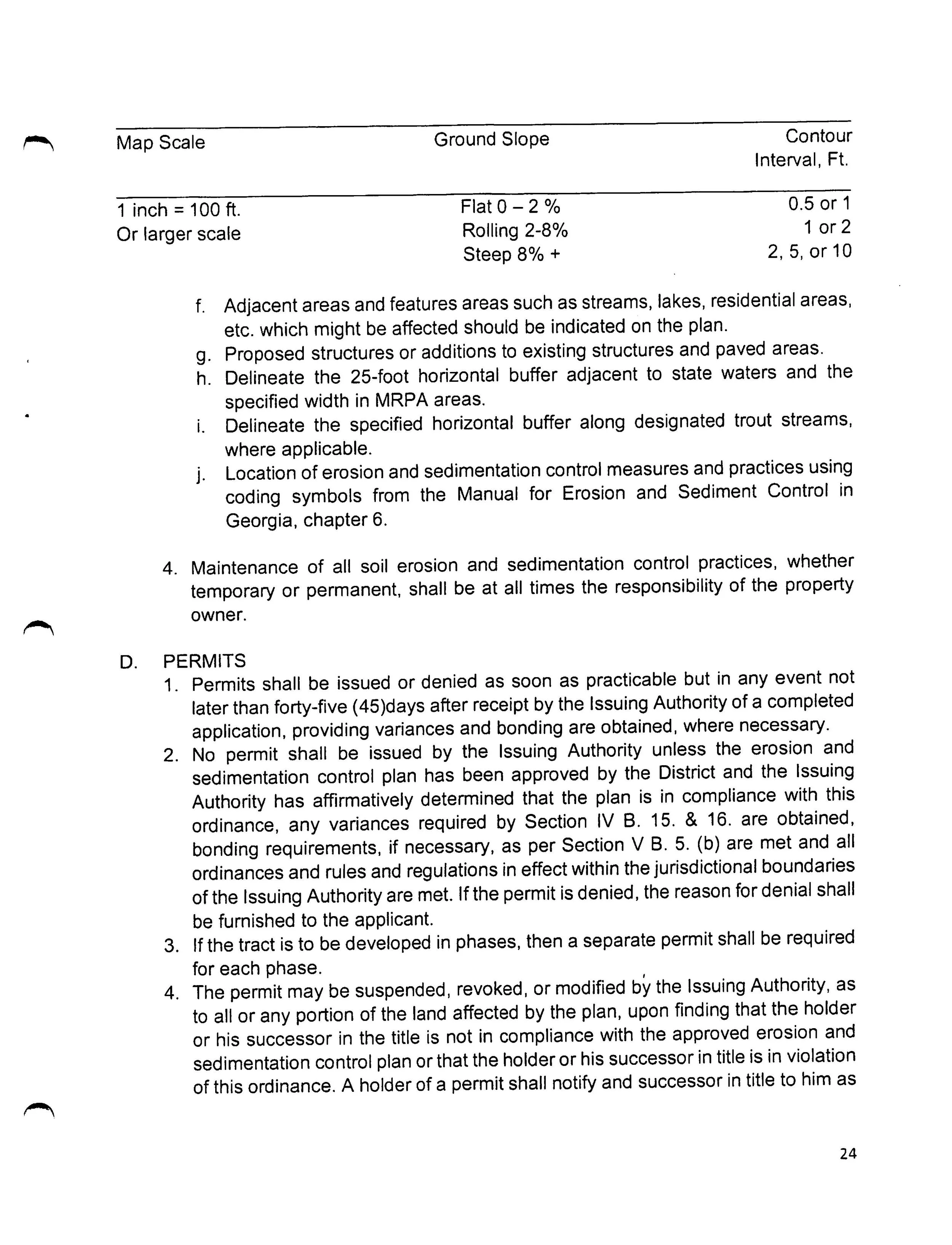
GMA HANDBOOK FORGEORGIA MAYORS AND COUNCILMEMBERS PART FOUR : MUNICIPAL SERVICES - BUILDING CODES AND CODES ENFORCEMENT - PAGE 27